电平信道¶
Abstract
重点掌握: 1. 最佳判决准则及其应用。 2. 计算判决门限和差错概率。 3. 多进制传输中的每符号比特承载量计算,比特与符号能量的互算。 4. 多进制实电平和复电平传输的差错概率计算。
在之前的讨论中,我们将信源编码为 0,1 bit,其中 0,1 bit 是逻辑量,而我们需要在实际的物理信道中使用物理量传输 0,1 bit。实际信道存在各种失真,例如噪声、带宽限制。我们追求在使用尽量少的资源(功率,带宽)的条件下获得较高的通信速率和较好的可靠性。
数字调制的基本结构:
类似互信息部分的讨论,我们使用条件概率 \(p(y\mid x)\) 建模一个信道,在输入为 \(x\) 的情况下观测 \(y\) 值出现的概率:
且有:
- 信道无记忆,否则条件概率应写为 \(p(y_1,\cdots,y_k,\cdots\mid x_1,\cdots,x_k,\cdots)\) .
- \(x_k\) 独立同分布,故 \(y_k\) 独立同分布。在之后的讨论中可以忽略下标 \(k\) .
- \(x\) 从离散集合中取值,但考虑到噪声, \(y\in\mathbb{R}\) 一般取实数。
我们考虑加性高斯白噪声电平信道:
其中噪声 \(z\) 为独立同分布的高斯随机变量。
二进制传输¶
仅传输一个 bit:0 或 1。
- 若传输 “0”,则发送电平 \(-A\) .
- 若传输 “1”,则发送电平 \(+A\) .
上述称为“电平映射”或“符号映射”。实现了从逻辑量(bit)到物理量(电平)的转换。
假设信源编码的输出比特 0,1 等概分布(事实上,最优信源编码就满足这一点),则 \(p(A)=p(-A)=\dfrac{1}{2}\) .
接收电平 \(y\) 的条件分布为 \(y\mid x\sim\mathcal{N}(x,\sigma^2)\) ,即:
根据全概率公式:
无论发送的是 \(A\) 还是 \(-A\) , \(y\) 都分布于整个实轴。因此对于接收到的任意 \(y\) ,极有可能是发送 \(A\) 导致的,也有可能是发送 \(-A\) 导致的,我们无法绝对准确地判断发送电平到底是哪一个。因此我们需要寻找一种判决准则,对接收电平强行判决其发送电平,并使得判决尽可能准确。
根据贝叶斯决策理论,我们执果索因。 \(y\) 是已知的,是观测值, \(x\) 是未知的,是随机变量。条件于观测值 \(y\) ,根据最大后验概率准则 MAP:
- 出现 \(A\) 的条件概率更大,即 \(\Pr(x=A\mid y)>\Pr(x=-A\mid y)\) ,则判决为 \(\hat{x}=A\) .
- 出现 \(-A\) 的条件概率更大,即 \(\Pr(x=A\mid y)<\Pr(x=-A\mid y)\) ,则判决为 \(\hat{x}=-A\) .
即为最大似然准则。带入得到:
- \(y>0,\quad p(y\mid A)>p(y\mid -A)\) ,判决为 \(\hat{x}=A\) .
- \(y<0,\quad p(y\mid A)<p(y\mid -A)\) ,判决为 \(\hat{x}=-A\) .
\(y=0\) 为最佳判决门限,也很容易直观理解。发送电平关于 0 对称,噪声也为零均值,根据对称性,判决门限在正中间最合理。
误符号率(差错概率):判决输出电平(符号)不等于发送电平(符号)的概率 \(P_s=\Pr(\hat{x}\neq x)\) .
对于二进制传输:
其中 \(Q(u)=\displaystyle\int_u^{+\infty}\dfrac{1}{\sqrt{2\pi}}e^{-t^2/2}\mathrm{d}t\) 是标准高斯分布的截尾误差函数。可以理解为高斯分布的“反向累积分布函数”,且是一个减函数: \(Q(-\infty)\to1,\;Q(0)=\dfrac{1}{2},\;Q(+\infty)\to 0\) .
可见,差错概率仅与发送电平到判决门限的距离、噪声方差有关。
电平信道的每符号能量 \(E_s=\mathbb{E}(x^2)\) .
对于二进制传输, \(E_s=\dfrac{1}{2}A^2+\dfrac{1}{2}(-A)^2=A^2,\;A=\sqrt{E_s}\) .
而电平信道的信噪比 \(\mathrm{SNR}=\dfrac{E_s}{\sigma^2}\) ,故误符号率 \(P_s=Q\left(\dfrac{A}{\sigma}\right)=Q\left(\sqrt{\dfrac{E_s}{\sigma^2}}\right)=Q\left(\sqrt{\mathrm{SNR}}\right)\) .
电平信道中一个符号可能由多个 bit 共同表示。因此我们还需要考虑误比特率。
对于二进制传输,一个符号就是一个 bit,因此:
多进制实电平传输¶
二进制传输中,一个电平只能承载 1 个 bit。如果扩大电平 \(x\) 的取值集合,也就是增大信源的熵,那么一个电平就可以承载多个 bit,承载的信息量更大。
\(M\) 进制传输:给定电平集合 \(\mathcal{A}\) ,其势为 \(|\mathcal{A}|=M\) ,一个电平最多可以承载 \(n=\left\lfloor \log_2M \right\rfloor\) 个 bit。
通常我们取 \(M\) 为 2 的整数次幂,即 \(M=2^n,\;n\in\mathbb{N}\) .
\(M\) 进制实电平传输:
通常取电平集合对称分布
电平和 bit 的映射满足格雷映射,相邻电平对应的 bit 串,只有一位 bit 不同。目的是减小误 bit 率。
类似二进制传输的讨论,无论发哪个电平 \(x\) ,接收电平 \(y\) 都可能出现在实轴上任意一点。判决准则为 \(\hat{x}=\displaystyle\arg\max_{x\in\mathcal{A}}p(x\mid y)\) .
最小距离准则:\(\hat{x}=\displaystyle\arg\min_{x \in \mathcal{A}} |y - x|\) ,接收到的 \(y\) 距离 \(\mathcal{A}\) 中哪个 \(x\) 近,就判决为哪个 \(x\) .
判决门限集合为 \(\{-(M-2)A,\cdots,-2A,0,2A,\cdots,(M-2)A\}\) .
与二进制传输不同,多进制传输由于有多个判决门限,发生差错时可能向左右两个方向差错。由于判决门限到电平的距离仍为 \(A\) ,因此单边差错概率为 \(Q\left(\dfrac{A}{\sigma}\right)\) ,双边差错概率为 \(2Q\left(\dfrac{A}{\sigma}\right)\) .
中间 \((M-2)\) 个点会发生双边差错,最外侧的 \(2\) 个点只会发生单边差错,因此误符号率为:
信号功率为 \(E_s=\mathbb{E}(x^2)=\dfrac{1}{M}\cdot2[A^2+(3A)^2+\cdots((M-1)A)^2]=\dfrac{A^2(M^2-1)}{3}\) .
单个 bit 能量 \(E_b=\dfrac{E_s}{\log_2M}\) .
替换掉 \(A\) 得到:
由此也可见,信噪比 SNR 越大,差错概率越小。
对于格雷映射的编码:相邻符号对应的 bit 串只有一位不同,错到相邻电平时只会导致 1 个 bit 差错,而在信噪比较高时,噪声使得电平差错到非相邻电平的概率很小,可以忽略。因此得到误 bit 率 \(P_b\approx\dfrac{P_s}{\log_2M}\) . 注意这里是约等于号,因为我们忽略了差错到非相邻电平的极小概率事件。
Tip
记忆口诀:一个电平符号对应 \(\log_2M \geqslant 1\) 个 bit,因此每 bit 能量小于每符号能量 \(E_b\leqslant E_s\) . 传输一个电平符号的 \(\log_2M\) 个 bit,即使符号判决错误,也仅仅差错了 1 个 bit,因此 \(P_b<P_s\) .
复电平信道¶
加性复高斯白噪声信道:
复高斯噪声 \(z\sim\mathcal{CN}(0,2\sigma^2)\) ,实部虚部为独立同分布的零均值高斯随机变量,其概率分布为:
如果输入电平 \(x=x_I+\mathrm{j}x_Q\) 的 I,Q 两路(实部和虚部)正交独立,那么接收端的 \(y=x+z=(x_I+z_I)+\mathrm{j}(x_Q+z_Q)\) 的 I,Q 两路也完全独立。
Note
这里的复数只是我们进行等效数学建模的手段,现实生活中不存在复数的物理量。
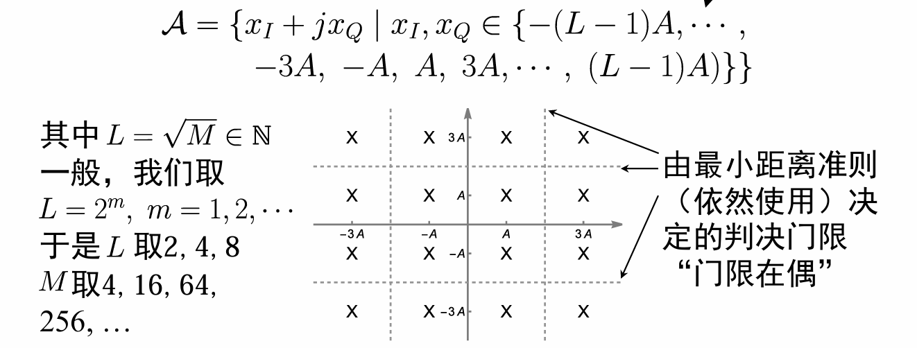
典型复电平集合 1:正方形格点,星座图。
对于 \(M\) 进制复电平传输,一共 \(M\) 个点,每一路有 \(L=\sqrt{M}\in\mathbb{N}\) 列。因此 \(M\) 的取值一般为 4 的整数次幂(因为要保证是完全平方数) \(4,16,64,\cdots\) .
根据 I,Q 两路的独立性,复电平传输可等价为两路独立的 \(L=\sqrt{M}\) 进制实电平传输。
分析差错概率时,接收端 \(y\) 必须实部和虚部都判别正确,才算复电平 \(x\) 判决正确,因此误符号率为两路电平误符号率的逻辑并集:
根据多进制实电平传输,其中 \(P_s^I=P_s^Q=\dfrac{2(\sqrt{M}-1)}{\sqrt{M}}Q\left(\dfrac{A}{\sigma}\right)\) ,且信噪比较高时 \(P_s^IP_s^Q\) 作为二阶小量可以忽略。因此:
一个复电平信号的能量等价于两路实电平能量的和(因为正交):
注意这里对数中的是 \(M\) 而不是 \(\sqrt{M}\) .
典型复电平集合2:圆上均匀分布的点。
所有电平模长相等,辐角相差 \(\dfrac{2\pi}{M}\) ,判决门限为相邻电平的角平分线,故复电平和判决门限的夹角为 \(\dfrac{\pi}{M}\) .
分析差错概率时,由于循环对称性,只需要考虑任意一个电平(与实电平传输不同是因为边界电平和内部电平不等价),例如最容易分析的 \(x=A\) 电平:
直接积分较为困难,而一般 \(M,\dfrac{A}{\sigma}\) 较大时,电平 \(A\) 看到的 2 个判决门限 \(e^{\mathrm{j}\pi/M},e^{-\mathrm{j}\pi/M}\) 夹角较小,近似平行,只有 \(z_Q\) 会引起差错:
得到:
当 \(M\) 较大时,可近似 \(\sin\dfrac{\pi}{M}\approx \dfrac{\pi}{M}\) .



