4 固体的电特性¶
Info
本章公式中,斜体字母 \(e\) 代表元电荷,正体 \(\mathrm{e}\) 代表自然底数 2.718……
4.1 外场中电子运动状态的变化¶
4.1.1 速度,加速度与有效质量¶
外场通常比晶体内周期性势场弱得多,采用微扰理论求解。哈密顿量为 \(\hat{H}=-\dfrac{\hbar^2}{2m}\nabla^2+U(\vec{r})+V\) .
粒子运动状态可以用本征态的波函数叠加成的波包表示,位置分布在 \(\vec{r}_0\) 附近的 \(\Delta\vec{r}\) 范围内,动量分布在 \(\hbar\vec{k}_0\) 附近的 \(\hbar\Delta\vec{k}\) 范围内,满足不确定性关系 \(\Delta\vec{r}\cdot \Delta\vec{k}\geqslant\dfrac12\) .
当波包尺度远大于原胞尺寸时, \(\dfrac{2\pi}{\Delta k}\gg a\) ,电子才能视为准经典粒子。
三维情况下电子平均速度为 \(\bar{\vec{v}}=\dfrac{1}{\hbar}\nabla_k E(\vec{k})\) .
下面只考虑一维情况:
波包群速度(中心波矢的速度) \(v(k_0)\) 等于电子的平均速度 \(\bar{v}=\dfrac{1}{\hbar}\dfrac{\mathrm{d}E}{\mathrm{d}k}\) . 平均速度由晶体内电子 \(E\sim k\) 关系决定。
(1)自由电子有 \(\bar v=\dfrac{\hbar k}{m}\) .
(2)晶体中,能带顶和能带底, \(\dfrac{\mathrm{d}E}{\mathrm{d}k}=0\) ,平均速度为0。能带中 \(\dfrac{\mathrm{d}^2E}{\mathrm{d}k^2}=0\) 的点,即 \(\bar{v}\) 的极值点,平均速度最大。这是在周期性势场作用下,电子动能与势能相互转换的结果。
电子速度的方向为 \(k\) 空间中能量梯度的方向,垂直于等能面。因此电子运动方向取决于等能面形状,电子速度方向不一定与波矢 \(\vec{k}\) 方向相同。
电子在晶体中具有加速度 \(\hbar\dfrac{\mathrm{d}\vec{k}}{\mathrm{d}t}=\vec{F}\) ,该式是推导出来的,不是加速度定义式。
有效质量定义为 \(\dfrac{1}{m^*}=\dfrac{1}{\hbar^2}\dfrac{\partial^2E}{\partial k^2}\) .
有效质量为张量,可正可负。能带底为下凸函数,有效质量为正,加速度为正,速度为0。能带顶为上凸函数,有效质量为负,加速度为负,速度为0。晶体电子加速度和外力方向可以不一致,取决于有效质量的正负。
有效质量包含了晶体周期性势场的作用,因为电子波在晶体中传播受到晶体的布拉格反射,电子通过布拉格反射与晶格交换动量:
- 能带底有效质量为正,电子从外场获得的动量大于交给晶格的动量,加速度为正。
- 能带顶有效质量为负,电子从外场获得的动量小于交给晶格的动量,加速度为负。
定义准动量/晶体动量为 \(\hbar \vec{k}\) . 晶体中电子波函数是布洛赫波,不具有确定的动量。晶体中电子除了外场作用以外,晶格的作用也会改变动量。
Tip
求速度,对能量求一阶导。
求有效质量或判断加速度的正负号,对能量求二阶导。
电子在恒定电场作用下运动: \(\vec{F}=\dfrac{\mathrm{d}(\hbar\vec{k})}{\mathrm{d}t}\) ,因此电子波矢 \(k\) 均匀变化,变化速度为 \(\dfrac{\mathrm{d}\vec{k}}{\mathrm{d}t}=\dfrac{1}{\hbar}\vec{F}=\dfrac{1}{\hbar}(-e\vec{E})\) .
在同一个能带中,理论上电子在能带底和能带顶之间振荡运动,但是运动过程中受声子、杂质和缺陷的散射,电子来不及完成一个振荡周期就被散射破坏掉。
4.1.2 导体、半导体与绝缘体的能带论解释¶
满带和空带都不导电,因为在一定温度下, \(E(k)\) 为偶函数,电子占据 \(k\) 状态和 \(-k\) 状态的概率相等, \(k\) 状态和 \(-k\) 状态电子流成对抵消。
部分填充带在无外电场时不导电,有外电场时, \(k\) 空间分布移动,关于零点不对称,有净电流,可以导电。
导体:里层是满带,最外层能带部分填充,可以导电。也可以得到金属的费米能级在导带中。
绝缘体:最外层满带,更高能带全空,禁带宽度大,不导电。
半导体:最外层满带,更高能带全空,绝对零度下不导电。但是禁带宽度较小,一般小于 \(2\text{eV}\) ,室温下最高的满带电子可以热激发到上面的空带,两个能带都变成部分填充带。最外层能带称为导带,次外层能带称为价带。拓展:宽禁带半导体。
金属和半导体的区别:
- 导体载流子是最外层半满带电子,电阻率随温度升高而增大。
- 半导体载流子是导带电子和价带空穴,电阻率随温度升高而降低。半导体导电性受杂质能级和热激发(温度)影响。
Note
一般能级数目与电子数目相等(这里认为是原子最外层可以提供的电子数目),而成对电子(自旋相反)占据一个能级(波矢相反数,能量相同)。
对于一价金属,例如 \(\ce{Li}\) ,最外层 \(2\text{s}\) 轨道有一半能级为空,半满带,可以导电。
对于二价金属,例如 \(\ce{Mg}\) , \(3\text{s}\) 和 \(3\text{p}\) 能带有重叠,看作一个能带,也为部分填充带,可以导电。
对于绝缘体,例如金刚石, \(\text{sp}^3\) 杂化,一半成键轨道,全部填满,为价带;一半反键轨道,全空,为导带。不导电。
半导体中原来的外层满带价带,有少量电子激发到导带中,但仍然接近全满,称为近满带,等效为空穴移动。空穴的有效质量 \(\dfrac{1}{m^*}=-\dfrac{1}{\hbar^2}\dfrac{\partial^2E}{\partial k^2}\) ,与价带顶的电子有效质量相反。
4.2 金属中电子输运过程¶
一般金属的熔点低于费米温度,熔点以下,被激发到费米能级 \(E_F\) 以上的电子很少。所以称金属自由电子气为强简并的费米气体,服从费米-狄拉克分布。
金属只有费米面附近一小部分电子可以被激发到高能态,距离费米面较远的电子仍保持基态填充( \(T=0\) )的状态。因此金属的许多性质由费米面附近的电子决定,而不是全部电子。金属的电导、热导、热电效应、电流磁效应等性质都与自由电子的输运有关。
通过分布函数 \(f(k,t)\) 研究输运过程,可以一般地概括成为一个关于分布函数的微分方程:玻尔兹曼方程。
外电场作用下形成的稳定电流服从欧姆定律 \(j=\sigma E\) . 状态 \(k\) 随时间的变化率:
电子的态分布在 \(k\) 空间按照上述速度移动,打破了平衡时关于 \(k=0\) 的对称分布,形成电流。可以形象地描述为费米球的偏心移动。
导体中存在抵消电场加速的作用,否则电子在恒定电场下持续加速,费米球越来越偏心,电流持续增加,而不是形成稳定电流。实际上,电子在被电场加速时,也会因为碰撞失去定向速。由于晶格振动,电子不断发生从一个 \(k\) 状态到另一个 \(k'\) 状态的跃迁,称为散射(类似于宏观物体碰撞改变速度)。
外电场使费米球偏心程度增大,电子分布由平衡分布变成非平衡分布;散射抵消外电场加速,使费米球向后移动,偏心程度减小,由非平衡分布趋向平衡分布。最终使得费米球保持一个稳定的偏心程度,电子具有一定的速度,电子分布达到恒定的非平衡分布。
通过理论推导,由于分布函数的变化主要在费米能级 \(E_F\) 附近,因此电导率决定于费米面附近情况。在各向同性、有效质量的的近似条件下,电导率:
其中 \(\mu=\dfrac{\tau(E_F)}{m^*}\) 为电子迁移率, \(\tau(E_F)\) 为费米能级附近电子的平均弛豫时间。一般情况下电子的有效质量更小,迁移率更高。例如 NMOS 导通性好于 PMOS。
4.3 半导体中载流子的输运过程¶
半导体:绝对零度不导电而室温具有导电性,绝对零度下就相当于绝缘体。温度增加时电阻率减小(有更多电子从价带热激发到导带,载流子浓度增加),而金属的电阻率随温度增加而增大(载流子不变,但是电子散射增大,迁移率下降)。
金属电阻率 \(<10^{-6}\,\Omega\cdot \text{cm}\) ,绝缘体 \(>10^{14}\,\Omega\cdot \text{cm}\) ,半导体介于金属和绝缘体之间。
基于半导体材料的电子器件:
- 二极管(应用:整流、混频),如金属-半导体二极管、半导体 PN 结二极管。
- 晶体管/三极管(应用:交流信号放大),如半导体晶体管 BJT、金属-氧化物-半导体场效应管 MOS。
- 集成电路(应用:计算机、手机)。
半导体光子器件:
- 光学吸收:太阳能电池,作为电源给负载供电,以 \(\ce{Si}\) 材料为主。光电探测器,将光信号转换为电信号,如 \(\ce{Si,Ge,InGaAs}\) 等材料。
- 产生光信号:使用 \(\ce{GaAs,InP,GaN}\) 等材料,而硅材料无法发光。如发光二极管,电流转化为光,其中可见光用于照明、显示,红外光用于低速率通信、遥控。激光二极管,电流转换为激光,光子具有很好的单色性、相干性、方向性,应用于高速光通信、光存储、激光测距等。
半导体热电器件:半导体温度传感器(热敏电阻),半导体致冷/制热,半导体温差发电。
半导体可以按照价带顶和导带底对应的简约波矢是否相同,划分为直接带隙半导体和间接带隙半导体:
- 直接带隙:导带底简约波矢 \(k_0=0\) ,有效质量往往是各向同性的,形成球形等能面,易做发光材料。例如 \(\ce{GaAs,InP,GaN}\) .
- 间接带隙:导带底简约波矢 \(k_0\neq 0\) ,有效质量往往是各向异性的,形成椭球形等能面,发生动量失配。例如 \(\ce{Si,Ge,C,GaP}\) .
4.3.1 费米能级与载流子浓度¶
与金属不同,半导体的费米能级在禁带中,导带底距离费米能级较远,按照费米-狄拉克分布,电子填充到导带的概率很低,远小于1:
导带中空状态很多,受泡利不相容原理限制不大,因此 \(f(E)\) 远离费米能级接近玻尔兹曼分布。因此,与金属的强简并不同,半导体导带中电子可以使用经典的玻尔兹曼分布代替量子的费米-狄拉克分布。
价带中的空穴同理,价带中能级被空穴占据的概率,即为不被电子占据的概率:
空穴占据状态的能量 \(E\) 越低,空穴的能量越高。空穴的占有概率随空穴能量升高近似按照玻尔兹曼指数规律迅速减小。
设导带底(Conduction-band)能量为 \(E_c\) ,价带顶(Valence-band)能量为 \(E_v\) .
回顾第三章,能量标度下的态密度 \(N(E)=\dfrac{V}{2\pi^2}\left(\dfrac{2m}{\hbar^2}\right)^{3/2}\sqrt{E}\) ,三维情形下电子能量越高,能态密度越大。
再回顾第三章“周期布里渊区图景”,布里渊区边界附近 \(E(k)\) 曲线发生能带弯曲,我们仍使用抛物线近似,使用电子和空穴的有效质量 \(m_e^*,m_h^*\) 代替电子质量 \(m\) ,直接引用自由电子的能态密度公式,分别写出单位体积中导带底和价带顶附近的能态密度(注意约化普朗克常数 \(\hbar\) 改写为普朗克常数 \(h=2\pi\hbar\) ):
由于我们使用玻尔兹曼统计近似:
电子和空穴的占据几率随能量 \(E-E_c\) 和 \(E_v-E\) 按玻尔兹曼指数规律迅速减少,因此电子和空穴主要集中在导带底或价带顶附近 \(\sim k_BT\) 的范围内。用能态密度计算电子浓度:
空穴浓度:
其中, \(N_c=\dfrac{2(2\pi m_e^* k_BT)^{3/2}}{h^3},\, N_v=\dfrac{2(2\pi m_h^* k_BT)^{3/2}}{h^3}\) 为导带和价带的有效能级密度。
这表明,在计算导带电子数时,可以等效地用导带底能级 \(E_c\) 代替整个导带,导带的电子数就如同在导带底 \(E_c\) 处集中了 \(N_c\) 个能态所含有的电子数。空穴同理。
根据电子与空穴的浓度:
可见,费米能级影响电子和空穴的浓度,费米能级 \(E_F\) 升高,电子浓度增大,空穴浓度减小。
且载流子浓度之积 \(np\) 仅与禁带宽度 \(E_g\) 和温度有关,与费米能级无关。温度越高,载流子浓度越大;禁带宽度越大,载流子浓度越小(电子更难热激发)。在一定温度下,电子浓度和空穴浓度成反比。
4.3.2 本征激发¶
本征半导体(intrinsic semiconductor):无杂质、无缺陷的半导体,此时半导体的费米能级 \(E_F\) 和载流子浓度完全取决于半导体本身的性质。
电子受热激发,从价带跃迁到导带。价带产生空穴,导带产生电子。空穴数目等于电子数目:
这种电子和空穴统称本征载流子。本征载流子浓度 \(n_i\) 与温度和禁带宽度(带隙)有关。根据载流子浓度与温度的关系,我们也可以计算得到带隙。
本征费米能级:
一般情况下,由于 \(k_BT\) 较小,且电子和空穴的有效质量接近,因此 \(E_{Fi}\approx\dfrac{1}{2}(E_c+E_v)\) ,即本征费米能级近似在禁带中央。
Tip
硅 \(\ce{Si}\) :常温 \(300\text{ K}\) 下,带隙宽度 \(E_g=1.12\text{ eV}\) ,本征载流子浓度 \(n_i=1.5\times10^{10}\text{ cm}^{-3}\) .
4.3.3 杂质与杂质激发¶
掺入杂质的半导体统称非本征半导体。
实际半导体中除去与能带对应的共有化状态以外,还存在一定数目的束缚状态。它们由杂质或缺陷(空位、间隙原子、位错引起的)。这些的杂质或缺陷使严格的周期性势场受到破坏,从而有可能产生能量在带隙中的局域化电子态,称为束缚态,且具有确定的能级,称为杂质能级。电子可以被杂质或缺陷束缚在杂质能级上。
杂质能级只能处于带隙中,因为能量位于能带中的电子态,不需要其他能量就可以转入共有化运动状态,因此能带中不可能存在稳定的束缚态。
施主杂质(donor):在能隙中提供带有电子的杂质能级。例如 \(\ce{Si,Ge}\) 中加入少量五价元素 \(\ce{P,As,Sb}\) ,或在 \(\ce{GaAs}\) 中使用 Ⅵ 族元素 \(\ce{S,Te,Se}\) 替代 \(\ce{As}\) .
受主杂质(acceptor):在能隙中提供空能级。例如 \(\ce{Si,Ge}\) 中加入少量三价元素 \(\ce{B,Al,Ga,In}\) ,或在 \(\ce{GaAs}\) 中使用 Ⅱ 族元素 \(\ce{Be,Mg,Zn}\) 替代 \(\ce{Ga}\) .
N 型半导体,含有施主杂质的半导体。施主能级(施主杂质的束缚能级)靠近导带底,通常只有百分之几电子伏特,能量差值为 \(E_i\) . 电子很容易从施主能级激发到导带,只需要加 \(E_i\) 的能量,称为束缚能/电离能,远比从价带激发更容易。N 型半导体导电主要依靠施主杂质激发的电子,电子浓度大于空穴浓度,电子为多子,空穴为少子。
P 型半导体,含有受主杂质的半导体。受主能级靠近价带,只高了百分之几电子伏特。电子很容易从价带激发到受主能级,称为“空穴电离”,产生一个在满带中自由运动的空穴,激发所需要的能量也为 \(E_i\) . P 型半导体导电主要依靠价带中激发的空穴,空穴浓度大于电子浓度,空穴为多子,电子为少子。
浅能级杂质
即上述讨论的杂质,由替位杂质所形成的施主和受主能级靠近导带或价带。杂质能级对电子或空穴的束缚能很小,电子很容易从施主能级跃迁或跃迁到受主能级,因此载流子将以杂质跃迁产生为主。
深能级杂质
可以在远离导带底形成施主能级,或远离价带顶形成受主能级。深能级杂质往往形成多重杂质能级,如 \(\ce{Au}\) 在硅 \(\ce{Si}\) 中,形成了靠近价带的施主能级,也形成了靠近导带的受主能级。深能级杂质作为复合中心,可以有效降低载流子寿命,提高材料电阻率。
补偿半导体:既掺有施主又掺有受主的半导体,是掺杂半导体的一种。
由于补偿半导体中掺有两种杂质,产生杂质的补偿作用(相当于施主与受主部分抵消,最后会剩下其中一种)。半导体类型取决于掺杂浓度大小关系。能够参加导电的多数载流子,由那些未被补偿的杂质提供。因此补偿半导体中有效载流子浓度可以很小,电阻率可以很高。虽然补偿半导体的电阻率很高,但它不同于未掺杂的本征半导体。
补偿半导体中的载流子浓度:
- N 型,施主杂质大于受主杂质浓度 \(N_D-N_A\gg n_i\) ,则 \(n=N_D-N_A,\;p=\dfrac{n_i^2}{n}\) .
- P 型,受主杂质大于施主杂质浓度 \(N_A-N_D\gg n_i\) ,则 \(p=N_A-N_D,\;n=\dfrac{n_i^2}{p}\) .
- 总杂质浓度 \(N_{\text{doping}}=N_A+N_D\) ,总杂质浓度决定迁移率。
对于完全补偿半导体,载流子浓度为本征载流子浓度(似乎相当于没有掺杂)。
非本征半导体的杂质激发
对于非本征半导体,其费米能级 \(E_F\) 、载流子浓度均与杂质原子有关。在一定温度下,导带中的电子可以来自施主的热电离或价带的热激发,而价带中的空穴可以产生于带间的热激发或受主的热电离。此外,电子还可以杂质能级之间跃迁。因此,在一定温度下,半导体中两种载流子的浓度并不相同。
掺杂半导体的载流子浓度计算
考虑一般性,设同时存在施主杂质和受主杂质,掺杂浓度分别为 \(N_D\) 和 \(N_A\) ,施主能级为 \(E_D\) ,受主能级为 \(E_A\) .
首先计算净掺杂浓度 \(N=|N_D-N_A|\) ,当净掺杂浓度远大于 \(n_i\) 时,多子浓度等于净掺杂浓度。当净掺杂浓度与 \(n_i\) 相当时,多子浓度为 \(\dfrac{N}{2}+\sqrt{\left(\dfrac{N}{2}\right)+n_i^2}\) . 少子浓度统一使用 \(np=n_i^2\) 计算。
以 N 型半导体(施主浓度大于受主浓度)为例:
(1) 若 \(N_D-N_A\gg n_i\) ,则电子浓度 \(n\approx (N_D-N_A)\) ,空穴浓度 \(p=\dfrac{n_i^2}{n}\) .
(2) 若 \(N_D-N_A\sim n_i\) ,则电子浓度 \(n\approx \dfrac{N_D-N_A}{2}+\sqrt{\left(\dfrac{N_D-N_A}{2}\right)^2+n_i^2}\) ,空穴浓度 \(p=\dfrac{n_i^2}{n}\) .
费米能级 \(E_F=E_c-k_BT\ln(N_c/n)=E_{Fi}+k_BT\ln(n/n_i)\) .
表明 N 型半导体的费米能级取决施主掺杂浓度,施主杂质浓度越高,费米能级越靠近导带底。
以 P 型半导体(受主浓度大于施主浓度)为例:
(1) 若 \(N_A-N_D\gg n_i\) ,则空穴浓度 \(p\approx (N_A-N_D)\) ,电子浓度 \(n=\dfrac{n_i^2}{p}\) .
(2) 若 \(N_A-N_D\sim n_i\) ,则空穴浓度 \(p\approx \dfrac{N_A-N_D}{2}+\sqrt{\left(\dfrac{N_A-N_D}{2}\right)^2+n_i^2}\) ,电子浓度 \(n=\dfrac{n_i^2}{p}\) .
费米能级 \(E_F=E_v+k_BT\ln(N_v/n)=E_{Fi}-k_BT\ln(p/n_i)\) .
表明 P 型半导体的费米能级取决受主掺杂浓度,受主杂质浓度越高,费米能级越靠近价带顶。
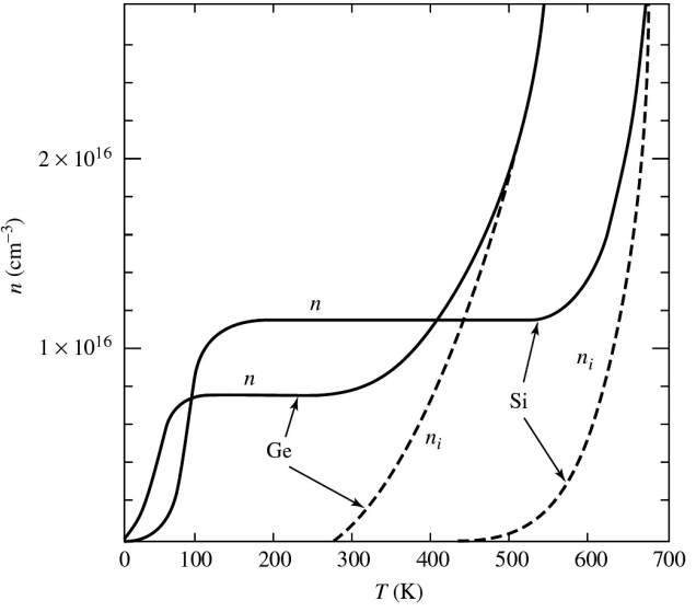
载流子浓度与温度的关系
对于本征半导体(虚线),载流子浓度在低温时为 0,温度升高到一定程度,价带中电子被热激发到导带(本征激发),本征载流子 \(n_i\) 浓度随温度升高急剧增加。
对于 N 型半导体(实线),由于杂质能级束缚能很小,在很低温度下束缚能级上的电子就被热激发到导带(施主激发),载流子 \(n\) 浓度随温度升高而增加。当施主能级所有电子都被热激发到导带上,且还没有达到价带电子的热激发温度时,载流子 \(n\) 浓度基本等于施主杂质浓度 \(N_D\) ,不随温度变化,出现“平台期”。当温度上升到足够高使得价带电子热激发到导带上,载流子 \(n\) 浓度再次随着温度升高而增大,且逐渐趋向于本征载流子 \(n_i\) 浓度。图中也可以看出,由于 \(\ce{Ge}\) 的禁带宽度比 \(\ce{Si}\) 小,因此发生本征激发和施主激发的温度更低。
上图中可以看出,掺杂浓度越高,费米能级 \(E_F\) 越靠近导带或价带,越远离本征费米能级 \(E_{Fi}\) . 且随着温度升高,费米能级 \(E_F\) 逐渐向本征费米能级 \(E_{Fi}\) 靠近,这是因为载流子浓度增加缓慢(受掺杂限制),而本征载流子浓度 \(n_i\) 指数级增长,本征激发逐渐超过杂质激发,载流子浓度 \(n\) 越来越接近于本征载流子浓度 \(n_i\) ,因此费米能级逐渐向本征费米能级靠近,掺杂半导体越接近本征半导体。
载流子的本征载流子浓度表示
使用本征载流子浓度 \(n_i\) 和本征费米能级 \(E_{Fi}\) 可以表示半导体(无论本征还是掺杂)中的载流子浓度:
若费米能级 \(E_F\) 高于本征费米能级 \(E_{Fi}\) ,更靠近导带,显示出 N 型的性质,则 \(n>n_i>p\) . 反之同理。
在非简并条件下(载流子浓度不高,费米能级在禁带中,且远离导带和价带),总有 \(np=n_i^2\) .
简并与非简并半导体
非简并半导体:
- 假设杂质浓度与半导体原子浓度相比小的多。
- 施主电子或受主空穴之间不存在相互作用。
- 杂质在半导体中引入分离的杂质能级。
简并半导体:
- 杂质浓度增加,原子之间相互作用加强。分离能级将分裂为能带而展宽。
- 杂质浓度增加到与有效状态密度相比拟。N 型简并半导体,费米能级进入导带,即 \(E_F>E_c\) ;P 型简并半导体,费米能级进入价带,即 \(E_F<E_v\) .
- 玻尔兹曼分布近似将不适用,必须使用费米-狄拉克分布。
4.3.4 载流子的迁移与扩散¶
载流子的迁移运动是电场加速和不断碰撞(散射)的结果。
半导体导带底的电子与价带顶的空穴,分别可以看作是有效质量为 \(m_e^*\) 和 \(m_h^*\) 的自由粒子,因此可以直接应用自由电子的结果来讨论在外电场作用下所产生的电导。
电导率 \(\sigma=ne\mu_e + pe\mu_h\) . 其中 \(\mu_e,\mu_h\) 分别是电子迁移率和空穴迁移率,与载流子浓度有关。
欧姆定律 \(j=\sigma E=ne(\mu_e E) + pe(\mu_h E)=ne\bar{v}_e + pe\bar{v}_h\) .
电流计算
外电场作用下,电子和空穴运动方向相反,电流方向相同,计算总电流应该相加。
\(\mu E\) 表示电场作用下载流子沿电场方向迁移的平均速度,迁移率则表示单位电场作用下载流子的平均迁移速度。
对于掺杂半导体,一般只需要考虑多子导电,即:N 型半导体 \(\sigma=ne\mu_e\) ,P 型半导体 \(\sigma=pe\mu_h\) . 因此电导率与迁移率、载流子浓度成正比。对于金属,只需考虑电子。对于本征半导体,需要考虑电子和空穴,但实际上本征半导体电导率很低。
电子和空穴的迁移率:
迁移率与电子或空穴在加速过程中发生的碰撞(散射)过程有关,取决于有效质量和平均弛豫时间 \(\tau_c\) ,平均弛豫时间又与散射几率相关,载流子热运动速度越大,越容易发生碰撞散射,弛豫时间越小。根本原因是周期性势场的破坏,附加势场使得电子可以从 \(k\) 状态跃迁到 \(k'\) 状态,即电子运动发生散射,包括电离杂质散射和晶格振动的散射。
低温下杂质散射占主导,温度升高时载流子热运动速度增大,电离杂质的散射作用减弱,从而使迁移率增大,大致有 \(\mu\propto T^{3/2}\) . 较高温度下,晶格的散射占主导,温度升高,声子的散射增大,因而迁移率随温度的升高而下降,对于简单能带大致有 \(\mu\propto T^{-3/2}\) . 温度升高时,晶格振动散射增强、电离杂质散射减弱;掺杂浓度升高时,电离杂质散射增强。
金属中费米面附近电子的热运动速度大于半导体中导带底处电子热运动速度,所以一般金属的迁移率比半导体小,但金属比半导体的导电性能好原因在于其载流子浓度很高。
同种半导体材料中,载流子类型不同,迁移率不同。由于电子有效质量小于空穴,所以一般电子的迁移率高于空穴。
实际问题中迁移率的大小是相当重要的。 \(\ce{Ge},\ce{Si}\) 的迁移率 \(\mu \sim 10^3\,\text{cm}^2/\text{V} \cdot \text{s}\) 的数量级;有些金属化合物半导体(如 \(\ce{GaAs},\;\ce{InSb}\) 等),由于其电子的有效质量仅为电子本身质量的 1/100 左右,因此其迁移率可达 \(10^5\,\text{cm}^2/\text{V} \cdot \text{s}\) 的数量级。
| 材料 | 电子迁移率 (\(\text{cm}^2/\text{V} \cdot \text{s}\)) | 空穴迁移率 (\(\text{cm}^2/\text{V} \cdot \text{s}\)) |
|---|---|---|
| Si | \(\mu_e = 1350\) | \(\mu_h = 480\) |
| Ge | \(\mu_e = 3900\) | \(\mu_h = 1900\) |
| GaAs | \(\mu_e = 8500\) | \(\mu_h = 400\) |
半导体的电导率除了与迁移率有关外,还与载流子的浓度有关。而载流子的浓度随温度的升高以指数形式增加(饱和区除外),由于指数形式的变化总是比幂函数的变化快,因此除饱和区外,电导率主要以指数形式随温度的升高而迅速增大,表现出很强的热敏性。这与金属的电导率有明显不同,因为金属的载流子(电子或空穴)浓度与温度无关,温度升高时,传导电子与声子碰撞更加频繁而使迁移率减小,所以金属的电导率温度系数为负,温度升高,导电率下降。也即:对于金属,温度升高时,载流子浓度变化不大,迁移率下降,因此导电性变差;对于半导体,载流子浓度随温度升高指数增加,弥补了迁移率的下降,导电性提升。
半导体与金属的电导率比较:
金属:载流子为电子,浓度变化很小。电导率 \(\sigma_0=\dfrac{ne^2\tau(E_F)}{m^*}=ne\mu\) ,主要决定于费米能级附近电子弛豫时间。温度升高时,电子浓度 \(n\) 不变,迁移率 \(\mu\) 下降,电导率 \(\sigma\) 下降。
半导体:载流子为电子、空穴,浓度随掺杂、温度变化。电导率 \(\sigma=ne\mu_e+pe\mu_h\) ,与载流子浓度有关。温度升高时,载流子浓度 \(n\) 迅速上升,迁移率 \(\mu\) 虽然下降,但电导率 \(\sigma\) 上升。
载流子的扩散运动
在金属导体和一般半导体的导电中,载流子都是依靠外电场的作用形成电流,称为漂移电流(迁移电流)。但是,半导体中的载流子还可以形成另一种形式的电流,称为扩散电流。扩散电流的产生是由于半导体中载流子浓度的不均匀分布而造成的扩散运动。即:扩散运动是由浓度梯度导致的载流子输运现象。
扩散流密度:单位时间,由于扩散运动通过单位横截面积的载流子数目。公式为 \(-D\dfrac{\mathrm{d}N}{\mathrm{d}x}\) , \(D\) 为扩散系数,后一项为载流子浓度变化的梯度。负号表示扩散运动总是从浓度高的地方流向浓度低的地方。
对于电子和空穴,扩散系数和迁移率均满足爱因斯坦关系 \(\dfrac{D}{\mu}=\dfrac{k_B T}{e}\) .
考虑扩散和漂移的总电流密度:
一维:\(J=en\mu_n E_x + ep\mu_p E_x + eD_n\dfrac{\mathrm{d}n}{\mathrm{d}x}-eD_p\dfrac{\mathrm{d}p}{\mathrm{d}x}\) .
三维:\(J=en\mu_n E + ep\mu_p E + eD_n \nabla n - eD_p \nabla p\) .
4.3.5 非平衡载流子¶
热平衡指的是电子—空穴对的不断产生与复合的动态平衡,热平衡条件为 \(n_0p_0=N_c N_v \exp(-E_g/k_B T)\) .
在外界的作用下,半导体中的电子浓度 \(n\) 和空穴浓度 \(p\) 可能偏离平衡值。例如在半导体的本征光吸收过程中,高能光子入射,激发价带电子跃迁到导带,产生电子—空穴对;通过外界电子-空穴对的注入(后面介绍的 PN 结),造成额外的多余电子-空穴对。
用 \(\Delta n=n-n_0, \;\Delta p=p-p_0\) 表示超出热平衡的多余载流子,称为非平衡载流子。电中性要求 \(\Delta n=\Delta p\) . 多子的数量一般都很大,非平衡载流子不会对它有显著影响,但对少子来说,数量的变化非常明显。因此在讨论非平衡载流子时,常常最关心非平衡的少数载流子。
对于半导体而言,导带基本为空带,价带基本为满带。热激发产生率与温度有关,与载流子浓度 \(n,p\) 无关。而通过光子激发的几率与光子能量、禁带宽度、能带结构有关,与温度无明显关系。
载流子复合:导带中电子落回到价带,与价带中空穴复合,使电子-空穴对湮灭,这是从非平衡状态恢复到热平衡的自发过程。
直接复合
电子直接与空穴进行复合,电子自动地从导带直接跃迁回价带。复合率 \(R=\alpha_i np\approx \alpha_i n_i^2\) ,其中 \(\alpha_i\) 与电子空穴运动速度有关,与温度有关,与载流子浓度无关。
直接复合分为:辐射复合(有光子辐射),非辐射复合(无光子辐射)。俄歇复合是典型的非辐射复合,即电子空穴复合过程中,释放能量给其他电子或空穴产生另一次跃迁,不产生光子辐射。带隙越小,俄歇复合概率越高。
间接复合
通过杂质能级的间接复合。一般情况下,间接复合与与杂质浓度、非平衡载流子浓度均呈正比,深能级杂质的掺杂半导体中间接复合过程更强。
非平衡载流子的复合
外界作用消失后,非平衡态最终会恢复到平衡状态,非平衡载流子会消失,即导带多余电子落回价带,使多余的电子空穴成对消失。复合速率与非平衡载流子密度成比例,这是一个典型的的微分方程解, \(\Delta n=(\Delta n)_0 \exp(-t/\tau)\) ,非平衡载流子以指数规律消失。 \(\tau\) 大致描述了非平衡载流子平均存在时间,称为非平衡载流子寿命。
存在过剩载流子时,电子和空穴不具有统一的费米能级,而应该使用各自的准费米能级 \(E_{Fn},\,E_{Fp}\) :
此时也有: \(np \neq n_i^2 = n_0 p_0 = N_c N_v \exp\left(-\dfrac{E_g}{k_B T}\right)\) .
4.5 霍尔效应¶
美国物理学家霍尔(A.H.Hall,1855-1938)于1879年在研究金属的导电机制时发现,当电流垂直于外磁场通过导体时,在导体的垂直于磁场和电流方向的两个端面之间会出现电势差,这一现象便是霍尔效应。这个电势差称为霍尔电势差。
本质上是电场和磁场对运动的电荷同时施加力的作用产生的效应。载流子受到磁场的洛伦兹力而偏转,电荷在边界聚集,形成霍尔电场,阻碍电荷进一步聚集。稳定时电场力和洛伦兹力平衡 \(eE_{Hy}=ev_xB_z\) ,霍尔电压 \(U_H=E_{Hy}W\) .
霍尔电场的方向可用以判断导电载流子的类型,其数值可用以计算载流子浓度和迁移率。由 \(j_x=pev_x\) ,得 \(E_{Hy}=\dfrac{1}{pe}j_xB_z=-\dfrac{1}{ne}j_xB_z\) .
霍尔系数 \(R\) 的定义式由 \(U_H=R\dfrac{IB}{d}\) 得到,带入可得 \(R=\dfrac{1}{pe}=-\dfrac{1}{ne}\) .
因此,P 型半导体的霍尔电压和霍尔系数为正,N 型半导体的霍尔电压和霍尔系数为负。
量子反常霍尔效应:不同于量子霍尔效应,量子反常霍尔效应不依赖于强磁场而由材料本身的自发磁化产生,在零磁场中就可以实现量子霍尔态。自1988年起,理论物理学家提出各种方案。2013年,清华大学物理系和中科院物理研究所组成的实验团队从实验上首次观测到量子反常霍尔效应。致敬薛其坤老师!


